最近异常忙碌,离上次写专栏已经过去数月。这几个月发生了许多事情,其中的一些对于我自己的人生来说,是不折不扣的黑天鹅。不过这些经历告诉我,生活与交易一样,起起落落,充满未知。我们总是希望能够从已经发生的事情中学习到一些东西,慢慢地去接近或许并不存在的真相。
闲话少叙,入正题。我们都知道,一个交易活跃的股票通常有着比较小的买卖价差(spread),而一个交易不活跃的股票则相反。为什么会出现这样的情况呢?能否用一个简单漂亮的数学模型解释价差的差异?今天要谈的EKOP模型[1]在提出之初,就是为了研究拥有不同信息的交易者的行为,是否是造成这两类股票价差存在差异的原因。在这篇专栏文章中,我将介绍这个模型的基础。模型的应用,会在后续的文章中(如果我有时间写的话)做进一步分析。数学模型的简洁之美在这篇论文里展现的淋漓尽致,阅读论文的过程充满享受。
当我们谈论一个金融模型,最重要的就是关注这个模型的假设。好的金融模型都有恰如其分的假设:它不会太强,以至于没有通用性;它也不会太弱,以至于推导不出漂亮简洁的结果。EKOP模型的基本假设有如下几条:
假设1:我们讨论股票的交易,交易行为在日间离散、日内连续假设。这是说,交易者的交易行为发生在
这些离散的交易日中。而在交易日内,交易发生在
这样的连续时间上。令
为一组表示股票在每一天日末时股票价值的随机变量,每一天有三种可能的情况



很明显,我们有 
假设2:在某一天,有α
的概率发生影响股票价格的事件,则有1-α的概率不会发生影响股价的事件。在发生事件的那些天,又有δ的概率发生会让股价降低的坏事件,而有1-δ的概率发生会使股价上升的好事情。
假设3:股票交易的参与者有做市商(market maker,简写作MM),知情交易者(informed trader,简写做IT),和不知情交易者(uninformed trader,简写做UT).他们分别遵从这样的交易行为:
MM是总是时刻准备着去挂一个单位的买单或卖单,尽作为一个做市商的义务。MM是风险中性的,因此他挂单的价格是他自己认为的公允价格。
IT只在有消息发生的日子才交易,他们的交易行为是一个泊松过程。某一天,如果有坏消息发生,他就会以μ的到达率(arrival rate)挂一个卖单;而在发生好消息的那些天,他会以μ的到达率挂一个买单。
UT,也就是我们可怜的韭菜,由于没有消息的优势,他们的交易行为也是一个泊松过程,在每一天,都以到达率ε挂买单和卖单。 注意,这里所有的泊松过程都是互相独立的。我们可以把假设3用一个图表示出来,如下。

我们知道,做市商通常是牛逼闪闪的大公司来担任的。他们很聪明,在长期与IT和UT的斗争过程中,他们通过大量的历史数据分析,总结出了上面这个树状图中所有的模型参数。不过还好,他们没有知情交易者那么厉害,当某一个交易日即将开启的时候,他们不像知情交易者那样,对今天是否有大事发生了然于胸。他们所能做的,就是在这个交易日的交易进行的过程中,不断地通过其他交易者的报单行为,更新自己对于今天是否有事发生、是好事还是坏事的猜测(友情提醒:以上皆是假设)。这很容易理解。作为一个做市商,如果我在交易的过程中发现今天的买单特别多,那么我自然而然的会猜测,是不是有好事儿发生,于是我们就增加了自己对于“好事发生”这一事件的概率估计;相反的,如果我发现今天卖单特别多,那么我自然会增加自己对于“坏事发生”这一事件的概率估计。
现在,让我们一起体验一把MM的角色,与IT和UT们斗争一番。在某个时间点t,我们把自己对于没有事、有好事,和有坏事发生的概率的猜测记为一个向量
。很明显,在一天刚刚开始的时候,也就是
的时候,我一个报单都没看到,所以我能做的就是认为,无事发生的概率为α,好事发生的概率为
,而坏事发生的概率为 
应该如何更新这个概率呢?还好,我们做市商选的人都是懂贝叶斯公式的。在我们观察到一个卖单到来的情况下,我们利用贝叶斯法则,更新自己的概率估计。我们首先更新对于今天没有消息的概率估计,其表达式为

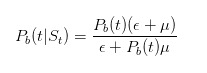
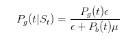
这个式子的分子是说,当没有消息的时候,只有不知情交易者会以ε下卖单;而分母是说,不管什么时候,不知情交易者都会以ε下卖单,而知情交易者只会以在坏事发生时以μ下卖单。类似的,我们可以推得

以及

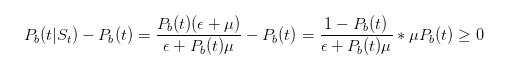
在我们继续推导之前,让我们做一些简单的检验。刚刚我们说,如果我们看到一个卖单,那么我们对于“坏事发生”的概率估计就应该变大。是不是这样呢?我们可以做一个非常简单的推导

由此可见,我们的推导印证了我们的直觉。
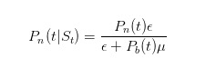
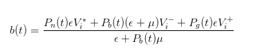
有了更新后的概率之后,我们就可以计算出公允价格,以作为我们做市场报出的买价啦,其表达式为

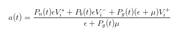
通过类似的推导,我们可以发现,当一个买单发过来的时候,我们作为做市商报出的卖价应该为

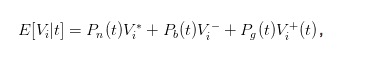
上面的买价和卖价的表达式还不够直观,我们可以引入在t时刻股票的期望价值来简化表达。我们有期望价值为

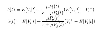
这样,我们就可以将bid和ask的表达式变换为

于是,我们就可以把价差清晰的表达为

有了价差的表达式,我们就可以分析一下不同的交易者对于价差的影响啦!
韭菜越多,价差越小。注意到,ε是不知情交易者(我们姑且称他们为“韭菜”吧)的到达率,如果有ε >> μ ,我们可以发现,
这两项都将趋于0,这就意味着,spread也将趋于零。
没有韭菜,就没有交易。如果我们再走向另外一个极端,假设市场里面没有韭菜了,只有一群比猴还精的知情交易者,那么我们会悲惨的发现,我们挂出的价格将是
和
,于是知情交易者发现自己无论如何买卖都将无利可图,市场必然死气沉沉(让我想到了国内的商品期权市场。。)。
你看,我们基于一些假设,利用非常简单的数学推导,居然能够得到这样有趣而深刻的结论,这大概就是数学模型的巨大魅力吧。读完此文,我也希望大家能够善待韭菜,我们这些韭菜才是市场能够正常交易的保障!
[1] Easley, David, et al. “Liquidity, information, and infrequently traded stocks.” The Journal of Finance 51.4 (1996): 1405-1436.