logo logo
  • 首页
  • 策略
  • 文库
  • 社区
  • API文档
登录 立即注册
帮助 经验交流 平台公告 知识库 入门手册
  • avatar of q2288858 q2288858  | 创建于:2025-03-02 10:23:09
    获取行情接口问题
    你好,请教一下 records = exchange.GetRecords('DOGE_USDT.swap') 获取狗狗币合约行情,报错:symbol DOGE_USDT.swap not found on Binance
    comments   1
    hits   584
  • avatar of 豆豆 豆豆  | 创建于:2025-03-01 10:54:29
    【求助】为什么TradingView策略发送的消息在FMZ无法执行?
    我之前使用的是指标消息。 做法是在每一个警报的消息设置中写入OpenLong 、 OpenShort,然后发送到FMZ机器人执行。 这样是OK的 现在使用策略发送消息, TradingView的代码是 ”` // 警报消息 var string Message_open_long = input.string(‘OpenLong’, ‘开多消
    【求助】为什么TradingView策略发送的消息在FMZ无法执行?
    comments   4
    hits   753
  • avatar of q2288858 q2288858  | 创建于:2025-02-28 19:13:57
    2025-03-01 13:46:40
    你好 python回测问题
    如何知道回测最后一轮,如果还有持仓就按市价全部卖出
    comments   2
    hits   543
  • avatar of 发明者量化-小小梦 发明者量化-小小梦  | 创建于:2025-02-27 23:05:10
    2025-02-27 23:05:28
    联系ID为:a1662205604 的用户。
    ID为:a1662205604的用户,感谢您提出问题工单,不过由于您工单删除的太快了,无法联系到您。 您提出的问题是这样的,平台是支持币安统一账户API的,正在和你发工单信息,您直接删除了,没法回复到您,十分抱歉。 币安统一账户需要切换,可以参考: https://www.fmz.com/user-guide
    联系ID为:a1662205604 的用户。
    comments   0
    hits   630
  • avatar of Han_nuo_ta Han_nuo_ta  | 创建于:2025-02-22 12:27:57
    2025-02-22 19:28:27
    回测系统的问题
    在使用回测系统的【调优】时,得到的【预估收益】跟【平仓盈亏 】相差太多了,肯定有一个是错的。能给我解释一下吗?后者是不考虑手续费吗?
    回测系统的问题
    comments   1
    hits   591
  • avatar of lkk20210722 lkk20210722  | 创建于:2025-02-18 15:21:40
    2025-02-20 16:11:14
    如何获取未完成的止损委托订单
    exchange.GetOrders()止盈的订单都能获取 就止损订单获取不到 还能用什么指令来获取止损订单呢
    comments   9
    hits   465
  • avatar of 天翼 天翼  | 创建于:2025-02-08 12:16:59
    2025-02-10 09:42:02
    关于策略图表的副图问题
    关于策略图表的副图问题 标题:关于策略图表的副图问题 内容: python语言,能否创建多个副图?希望不同的计算指标显示在不同的副图上,便于分析。目前策略图表只有一个副图,通过plot画在副图上的不同计算指标,都显示在一张副图上,由于各指标值域范围相差极大,各曲线可观性很差。
    comments   4
    hits   512
  • avatar of Han_nuo_ta Han_nuo_ta  | 创建于:2025-01-29 16:23:35
    回测中,GetTicker耗时问题
    var time1 = new Date().getTime() for (var i = 0; i < trade_symbols.length; i++) { exchanges[i].IO("currency", trade_symbols[i].slice(10) + '_USDT'); // 设置交易对
    comments   3
    hits   558
  • avatar of Han_nuo_ta Han_nuo_ta  | 创建于:2025-01-26 22:26:24
    关于多品种的回测
    报错: Uncaught RuntimeError: Aborted(). Build with -sASSERTIONS for more info. 策略代码如下: function main() { var trade_symbols = ["coin_name_ETH","coin_name_BCH","coin_name_XRP","coin_name_EOS",
    comments   6
    hits   606
  • avatar of 长留上仙 长留上仙  | 创建于:2025-01-02 17:40:21
    2025-01-02 18:00:19
    Pine语言,回测选用实盘数据,下单后报错
    前几天使用js,下单后报错;现在用Pine语言一样报错。 https://www.fmz.com/bbs-topic/10561 strategy.entry(“long”, strategy.long, 100)
    Pine语言,回测选用实盘数据,下单后报错
    comments   2
    hits   656
  • avatar of Scout Scout  | 创建于:2024-12-27 08:44:58
    什么时候可以支持币安统一保证金模式下的API?
    如题,切换到统一保证金模式之后,现在的api无法交易合约了。
    comments   1
    hits   598
  • avatar of 长留上仙 长留上仙  | 创建于:2024-12-23 11:46:47
    2024-12-23 17:05:37
    回测时,数据选择实盘级报错5416072
    如题,在回测模拟数据和真实实盘时,策略能正常工作;但在回测使用实盘数据时,报错5416072。
    回测时,数据选择实盘级报错5416072
    comments   3
    hits   517
  • avatar of bored bored  | 创建于:2024-12-13 08:59:01
    2024-12-13 09:10:08
    麦语言最小交易量设置了0.01为啥还是出现这个错误?
    麦语言最小交易量设置了0.01为啥还是出现这个错误?
    comments   8
    hits   550
  • avatar of 超级移动止盈网格策略出租 超级移动止盈网格策略出租  | 创建于:2024-12-03 22:02:41
    2024-12-03 22:06:37
    请教个币安平仓报错的问题
    这个策略是跑了一年多的策略近期突然出现的,当到止盈和止损给单个币种全平仓位的时候就会报错,如果单独只跑一个币种 就没问题,超过2个币种一起跑就报错 ,以前也是一直跑的多个币种也没问题,就近期出现,请懂得看看 if (nextMorePrice != 0 && dProp > LESS_MAX) { //Log(currency, “多仓,累计亏损达
    请教个币安平仓报错的问题
    comments   1
    hits   747
  • avatar of 豆豆 豆豆  | 创建于:2024-12-01 11:59:19
    请教JS代码问题
    我写了一个监测挂单是否成交的代码,从交易平台获取订单数据,使用了 exchange.GetOrders(); 然后间隔为1000毫秒。 但平台提示: 错误 GetTicker: {“code”:-1003,“msg”:“Too many requests; current limit of IP(8.216.89.72) is 2400 requests per minute. Ple
    comments   5
    hits   647
  • avatar of 发明者量化-小小梦 发明者量化-小小梦  | 创建于:2024-11-21 17:18:04
    比特币中的梅特卡夫定律
    加密货币是一种新的资产类别,研究人员刚刚开始更好地了解其价格走势背后的基本力量。一篇新的研究论文表明,比特币的价格可以用梅特卡夫定律来建模。比特币(和其他加密货币)的这一特性与 Facebook 非常相似,因为它们的价值取决于活跃用户的数量——网络规模…… 摘要: 我们通过举例说明,比特币的长期价格是非随机的,可以建模为用户数量 n 随时间增长的函数。利用观察到的 Fa
    比特币中的梅特卡夫定律
    comments   0
    hits   1140
  • avatar of 发明者量化-小小梦 发明者量化-小小梦  | 创建于:2024-11-21 15:12:50
    重新审视比特币的趋势跟踪和均值回归策略
    在过去的几年里,金融格局的重大变化重塑了全球市场的动态,包括加密货币领域。持续的乌克兰战争、不断上升的通货膨胀率、美国经济的软着陆情景以及最近的比特币减半等事件,都对市场情绪和价格走势产生了深刻影响。鉴于这些发展,我们决定重新审视、重新评估交易策略,特别是 2022 年发布的 [比特币趋势跟踪和均值回归](https://quantpedia.com/trend-following-and-mea
    重新审视比特币的趋势跟踪和均值回归策略
    comments   0
    hits   1201
  • avatar of 发明者量化-小小梦 发明者量化-小小梦  | 创建于:2024-11-20 16:39:35
    2024-11-20 16:41:44
    我们应该为投资组合分配多少比特币?
    引言 经过多年的等待,最近推出的现货比特币 ETF 标志着加密货币市场的一个重要里程碑,使比特币更容易被投资者接受。现货 ETF 提供了一种方便且受监管的方式来投资比特币,无需直接持有数字资产,从而可能吸引更广泛的市场参与者。许多投资者正在等待这一变化对加密货币价格的长期影响,同时相信比特币在其投资组合中可能带来的可观的收益。这些事件发生在比特币历史上的两个重要里程碑之后——2017年推出
    我们应该为投资组合分配多少比特币?
    comments   0
    hits   960
  • avatar of 发明者量化-小小梦 发明者量化-小小梦  | 创建于:2024-11-19 14:07:22
    2024-11-19 14:08:51
    如何通过比特币隔夜交易获利?
    随着人们对加密货币的兴趣持续飙升,在每次价格上涨的推动下,加密资产巩固了其作为全球市场主要资产类别之一的地位。与主要在标准工作时间进行交易的传统资产不同,加密货币7*24小时全天候交易,呈现出独特的流动性和波动性。这种持续的交易环境促使我们研究旗舰加密货币——比特币在日内和隔夜时段的表现。随着比特币通过 ETF 和其他投资工具越来越多地被散户和机构投资者所接受,我们假设这些不同时间范围内的交易活动
    如何通过比特币隔夜交易获利?
    comments   0
    hits   1053
  • avatar of 18764975559 18764975559  | 创建于:2024-11-17 08:51:53
    在平台进行策略调优 为什么总是页面崩溃
    comments   2
    hits   577
  • avatar of 发明者量化-小小梦 发明者量化-小小梦  | 创建于:2024-11-11 13:56:43
    2024-11-11 13:58:40
    利用交易量优化投资组合的构建和实施
    虽然投资组合优化通常侧重于风险和回报预测,但实施成本至关重要。然而,预测交易成本具有挑战性,因为对于大规模投资者来说,最大的组成部分是价格影响,这取决于交易规模、其他交易者在其中的交易量以及交易者的身份,因此阻碍了通用解决方案。为了解决这个问题,2024 年 8 月研究“交易量阿尔法”的作者 Rusian Goyenko、Bryan Kelly、Tobias Moskowitz、Yinan Su
    利用交易量优化投资组合的构建和实施
    comments   0
    hits   880
  • avatar of 张小宝lre 张小宝lre  | 创建于:2024-11-09 00:21:00
    运行中的实盘如何更新参数?
    有什么办法能够实现运行中的实盘,在不停止实盘的情况下,更新参数。
    comments   1
    hits   607
  • avatar of 发明者量化-小小梦 发明者量化-小小梦  | 创建于:2024-11-07 15:49:45
    AI案例研究:多头空头策略
    在本文中,我们将使用一种高级算法来改进另类数据驱动投资 (ADDI)策略的一个模块,这是一种自动多空投资策略,旨在获得与市场脱钩的稳定业绩,且回撤风险有限。 我们开发的算法是一个定制的深度神经网络,用它来降低与多空策略相关的风险。 为什么要使用神经网络? 背景 对于 量化投资者 来说,获取数据标志着他们投资之旅的中点。但最重要和最有趣的阶段之一就在眼前,其中有
    AI案例研究:多头空头策略
    comments   0
    hits   1089
  • avatar of chdsdo123 chdsdo123  | 创建于:2024-11-07 11:07:04
    2024-11-07 11:08:49
    策略代写,专业量化,前央企程序员,专业可靠。
    10年开发经验,5年量化经验,熟悉各种策略编写,从服务器搭建到自动化交易落地,一站式解决,欢迎下单,价格实惠。 v信:justbegreat633 欢迎新朋友加入!加好友请备注fmz
    comments   0
    hits   900
  • avatar of 发明者量化-小小梦 发明者量化-小小梦  | 创建于:2024-10-23 16:27:33
    2024-10-24 13:40:12
    简单与高级系统交易策略 - 哪个更好?
    在制定量化交易策略时,是采用更先进的方法更好,还是最好坚持简单的想法? 量化社区中一个古老的问题是,系统交易者是否应该坚持使用简单的量化策略,还是应该努力实施更先进的方法。 人们通常认为,散户算法交易者只使用更简单的策略,而量化对冲基金则采用高度复杂和数学复杂的方法。然而,最近情况发生了变化。 散户算法交易者现在能够凭借相对便宜的云计算、提供价格合理且易于使用的数据集的替代数据供
    comments   0
    hits   1044
  • avatar of 发明者量化-小小梦 发明者量化-小小梦  | 创建于:2024-10-22 14:51:24
    2024-10-22 14:52:29
    用于量化交易的 Python 库
    本文介绍了最重要的 Python 库,可以帮助初级开发人员入门。这些库在行业中广泛用于从数据操作到实时交易系统开发的所有领域。 对于任何想要深入了解量化金融和系统交易领域的人来说,Python 都是不可或缺的工具。作为许多量化开发人员的首选编程语言,Python 提供了一个庞大的库生态系统,可以简化从数据分析到策略执行的所有内容。无论您是刚入门还是希望提高自己的技能,了解正确的 Python
    comments   0
    hits   1750
  • avatar of 发明者量化-小小梦 发明者量化-小小梦  | 创建于:2024-10-22 10:14:59
    2024-10-24 13:40:41
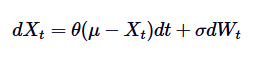
    使用Python进行Ornstein-Uhlenbeck模拟
    在本文中,我们将概述Ornstein-Uhlenbeck过程,描述其数学公式,使用 Python 实现和模拟它,并讨论量化金融和系统交易中的一些实际应用。我们会用一个更高级的随机过程模型,称为 Ornstein-Uhlenbeck (OU) 过程,该模型可用于对表现出均值回归行为的时间序列进行建模。这对于衍生品定价中的利率建模以及进行算法对交易时的系统交易特别有用。 什么是Ornste
    使用Python进行Ornstein-Uhlenbeck模拟
    comments   0
    hits   1684
  • avatar of Fland Fland  | 创建于:2024-10-22 05:50:32
    2024-10-22 05:51:23
    学习PINE代码,请问止损设置有什么问题?回测的时候止损不执行,实盘的时候执行止损了,但后续就不按照条件开单直接不停的开仓,平仓。请问高手是什么问题?
    //@version=5 strategy(“RSI(6) Buy at 30, EMA(34) Sell with Stop Loss”, overlay=true) // 参数设置 rsiPeriod = 6 emaPeriod = 54 buyLevel = 30 positionSize = 0.02 // 计算 RSI 和 EMA rsiValue = ta.rs
    comments   0
    hits   587
  • avatar of xaifer48 xaifer48  | 创建于:2024-10-18 16:24:25
    pine 多周期
    请问各位大佬,pine语言里面想要使用多个时间周期的指标,需要怎么办? 有什么案例或文档可以学习么?没在fmz找到相关的资料
    comments   0
    hits   579
  • avatar of 发明者量化-小小梦 发明者量化-小小梦  | 创建于:2024-08-21 13:48:02
    2024-08-22 09:49:06
    期货交易所订单以及持仓接口查询细节汇总
    汇总各个期货交易所 GetOrders / GetPositions 相关接口,目前期货交易所19 + 2(新增) = 21个 , 目前总计所有交易所56个。 GetOrders futures_Aevo 不区分合约类型 futures_ApolloX 不区分合约类型 futuresBibox
    comments   0
    hits   1011
  • 1
  • 2
  • 3
  • 4
  • 5
  • 6
  • 7
  • 8
  • 9
  • 10
  • »
  • 末页
Forums
PINE Language FAQ Summary MyLanguage Web3 About Us
Product
Robot Strategy Node Platforms Tickets
API
Syntax guide User guide Trading api Blockchain Indicator

© 2015 - ∞ INVENTOR PTE LTD (SG)