在本文中,我们将概述Ornstein-Uhlenbeck过程,描述其数学公式,使用 Python 实现和模拟它,并讨论量化金融和系统交易中的一些实际应用。我们会用一个更高级的随机过程模型,称为 Ornstein-Uhlenbeck (OU) 过程,该模型可用于对表现出均值回归行为的时间序列进行建模。这对于衍生品定价中的利率建模以及进行算法对交易时的系统交易特别有用。
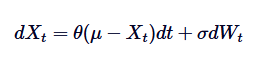
Ornstein-Uhlenbeck 过程是一种连续时间随机过程,用于对均值回归行为进行建模。这意味着,与可以无限漂移的标准随机游走或布朗运动不同,OU过程往往会随着时间的推移恢复到长期平均值。从数学上讲,OU过程是控制这种均值回归行为的特定随机微分方程 (SDE) 的解。OU过程的SDE由以下公式给出:

其中,Xt表示在时间t的随机过程,μ是长期均值,θ是均值回归率,δ是波动性,而dWt是Wiener过程或标准布朗运动。
Ornstein-Uhlenbeck过程最初由Leonard Ornstein和George Eugene Uhlenbeck于1930年提出,用于模拟在有摩擦的情况下进行布朗运动的粒子的速度。随着时间的推移,它的实用性已经远远超出了物理学,在生物学、化学、经济学和金融学等不同领域都有应用。
在量化金融中,OU过程对于对表现出均值回归行为的现象进行建模特别有用。显著的例子包括利率、汇率和金融市场的波动性。例如,流行的利率模型 Vasicek 模型就是直接从OU过程推导出来的。
Ornstein-Uhlenbeck过程在量化金融中至关重要,原因如下。它的均值回归性质使其成为建模金融变量的自然选择,这些金融变量不表现出随机游走行为,而是围绕稳定的长期均值波动。这一特性对于利率建模至关重要,其中均值回归反映了央行对长期稳定利率的影响。
此外,OU过程还用于资产定价模型(包括衍生品估值)和风险管理策略。它还可以作为更复杂模型的构建块,例如 Cox-Ingersoll-Ross (CIR) 模型,该模型将OU过程扩展为对具有非负值的利率进行建模。
Ornstein-Uhlenbeck 过程的主要特点可以概括如下:
直观地说,您可以将Ornstein-Uhlenbeck过程视为对围绕平均值拉伸的橡皮筋的行为进行建模。虽然该过程可能会因随机波动而偏离均值,但橡皮筋的“拉力”(类似于均值回归)确保它最终返回到均值。
由于OU过程与各种金融现象的建模密切相关,因此经常将其与其他随机过程(如布朗运动和几何布朗运动 (GBM))进行比较。与布朗运动不同(布朗运动没有回归均值的趋势),OU 过程具有明显的均值回归行为。这使得它更适合对变量围绕稳定均衡波动的场景进行建模。
与通常用于对股票价格进行建模并包含漂移和波动项的GBM相比,OU过程没有表现出指数增长,而是围绕其均值振荡。GBM更适合对随时间增长的数量进行建模,而OU过程则非常适合对显示均值回归特征的变量进行建模。
Ornstein-Uhlenbec过程在金融领域具有广泛的应用,尤其是在均值回归为关键特征的建模场景中。下面,我们将讨论一些最常见的使用案例。
OU过程最突出的应用之一是对利率进行建模,特别是在Vasicek模型框架内。Vasicek模型假设利率遵循OU过程,即利率往往会随着时间的推移回归到长期平均值。这一特征对于准确模拟利率行为至关重要,因为利率往往不会无限期地波动,而是在受经济条件影响的平均水平附近波动。
在资产定价中,尤其是固定收益证券,OU过程通常用于模拟债券收益率的演变。OU过程的均值回归性质确保收益率不会偏离其历史平均值太远,这与观察到的市场行为一致。这使得OU过程成为债券和其他利率敏感工具定价的宝贵工具。
配对交易是一种市场中性策略,涉及在两种相关资产中建立抵消头寸。在这种情况下,OU过程特别有用,因为它可以对两种资产之间的价差进行建模,而价差通常是均值回归。通过使用OU过程对价差进行建模,交易者可以在价差偏离其平均值时确认盈利入场和出场点,预测回归均值,从而生成交易信号。
例如,如果两种期货之间的价差扩大到超过某个阈值,交易者可能会做空表现优异的期货并做多表现不佳的期货,期望价差恢复到其历史平均水平,从而在反转发生时实现盈利。
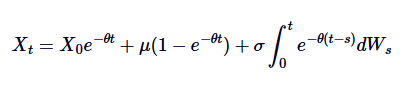
Ornstein-Uhlenbeck过程的微分方程公式是其求解的基础。为了求解这个SDE,我们使用了积分因子法。让我们重写 SDE:

首先,我们将两边都乘以积分因子
:

请注意,如果我们在两边都加上
,那么左边可以表示为乘积的差分:

将两边从0积分到t,我们得到:

这是Ornstein-Uhlenbeck SDE的一般解。
上面推导出的显式解决方案有几个重要的含义。第一项
表示初始值随时间衰减,表示该过程如何逐渐“忘记”其起点。第二项
表示过程随时间趋向于平均值μ。第三项引入了随机性,其中涉及Wiener过程的积分解释了随机波动。
此解决方案强调了确定性均值回归行为与布朗运动驱动的随机分量之间的平衡。了解此解决方案对于有效模拟OU过程至关重要,如下所述。
Ornstein-Uhlenbeck过程与其他著名的随机过程(包括布朗运动和Vasicek模型)有若干重要的联系。
Ornstein-Uhlenbeck过程可以看作是布朗运动的均值回归版本。布朗运动描述的是一个具有独立增量且没有回归均值的趋势的过程,而OU过程通过使用漂移项修改布朗运动来引入均值回归,从而将过程拉回中心值。从数学上讲,如果我们设置θ=0,OU过程将简化为带波动的标准布朗运动:

因此,布朗运动是OU过程的一个特例,对应于均值回归的缺失。
Vasicek 模型广泛用于利率建模,本质上是Ornstein-Uhlenbeck过程在利率演变中的应用。Vasicek模型假设利率遵循OU过程,其中 SDE 定义为:

其中,rt表示短期利率,参数θ,μ和δ的解释与OU过程中的解释相似。Vasicek模型能够产生均值回归利率路径,这是其在金融建模中的主要优势之一。
了解这些关系可以更广泛地了解OU过程在不同环境中的使用方式,尤其是在金融领域。我们将在下文讨论应用示例时探讨这些联系的实际意义。
在本节中,我们将探讨如何使用Python模拟 Ornstein-Uhlenbeck(OU) 过程。这涉及使用Euler-Maruyama离散化来离散化定义OU过程的随机微分方程(SDE)。
让我们回顾一下上面的SDE数学公式,并概述每个术语:

其中,
为了在计算机上模拟这个过程,我们需要对连续时间 SDE 进行离散化。一种常用的方法是 Euler-Maruyama 离散化,它通过考虑小的离散时间步长
来近似连续过程。Ornstein-Uhlenbeck 过程的离散形式由下式给出:

其中,
是从标准正态分布中抽取的随机变量(即
)。这种离散化使我们能够随时间迭代计算 Xt 的值,从而模拟 OU 过程的行为。
现在让我们用Python实现离散化的 Ornstein-Uhlenbeck 过程。在下文中,我们只使用 NumPy 和 Matplotlib Python 库。
首先,我们以标准方式导入 NumPy 和 Matplotlib。然后,我们为 OU 模型指定所有参数。随后,我们预先分配一个长度为N 的 NumPy 数组,以便在计算出 OU 路径后将其添加到其中。然后我们迭代 N-1 步(步骤1是指定的初始条件X0),模拟随机增量dW,然后根据上述数学公式计算 OU 路径的下一次迭代。最后,使用 Matplotlib 绘制路径的历史。
import numpy as np
import matplotlib.pyplot as plt
# Parameters for the OU process
theta = 0.7 # Speed of mean reversion
mu = 0.0 # Long-term mean
sigma = 0.3 # Volatility
X0 = 1.0 # Initial value
T = 10.0 # Total time
dt = 0.01 # Time step
N = int(T / dt) # Number of time steps
# Pre-allocate array for efficiency
X = np.zeros(N)
X[0] = X0
# Generate the OU process
for t in range(1, N):
dW = np.sqrt(dt) * np.random.normal(0, 1)
X[t] = X[t-1] + theta * (mu - X[t-1]) * dt + sigma * dW
# Plot the result
plt.plot(np.linspace(0, T, N), X)
plt.title("Ornstein-Uhlenbeck Process Simulation")
plt.xlabel("Time")
plt.ylabel("X(t)")
plt.show()
绘图结果如下所示:

使用Python绘制的Ornstein-Uhlenbeck过程模拟
注意,该过程如何从初始条件中快速“拉取” X0=1 到平均值 μ=0,然后当它偏离该平均值时,它显示出恢复到该平均值的趋势。
在本文中,我们概述了 Ornstein-Uhlenbeck 过程,描述了其数学公式,并提供了 Python 的基本实现来模拟连续时间 SDE 的离散版本。在后续文章中,我们将研究基于 OU 过程构建的更复杂的 SDE,了解它们如何用于系统交易和衍生品定价应用程序。
完整代码
# OU process simulation
import numpy as np
import matplotlib.pyplot as plt
# Parameters for the OU process
theta = 0.7 # Speed of mean reversion
mu = 0.0 # Long-term mean
sigma = 0.3 # Volatility
X0 = 1.0 # Initial value
T = 30.0 # Total time
dt = 0.01 # Time step
N = int(T / dt) # Number of time steps
# Pre-allocate array for efficiency
X = np.zeros(N)
X[0] = X0
# Generate the OU process
for t in range(1, N):
dW = np.sqrt(dt) * np.random.normal(0, 1)
X[t] = X[t-1] + theta * (mu - X[t-1]) * dt + sigma * dW
# Plot the result
plt.plot(np.linspace(0, T, N), X)
plt.title("Ornstein-Uhlenbeck Process Simulation")
plt.xlabel("Time")
plt.ylabel("X(t)")
plt.show()
原文链接:https://www.quantstart.com/articles/ornstein-uhlenbeck-simulation-with-python/